Ammonium polyphosphate is an inorganic salt of polyphosphoric acid and ammonia. The chain length (n) of this polymeric compound is both variable and branched, and can be greater than 1 000. Short and linear chain APPs (n < 100) are more water sensitive (hydrolysis) and less thermally stable than longer chain APPs (n >1000), which show a very low water solubility (< 0.1 g / 100 ml).
APP is a stable, non-volatile compound. In contact with water APP it slowly gets hydrolysed to monoammonium phosphate (orthophosphate). Higher temperatures and prolonged exposure to water will accelerate the hydrolysis. Long chain APP starts to decompose at temperatures above 300°C to polyphosphoric acid and ammonia. Short chain APP will begin to decompose at temperatures above 150°C .
There are two main families of ammonium polyphosphate : Crystal phase I APP (APP I) and Crystal phase II APP (APP II).
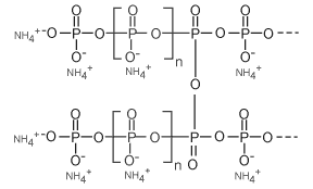
Crystal phase I APP (APP I) is characterized by a variable linear chain length, showing a lower decomposition temperature (aprox 150°C ) and a higher water solubility than Crystal Phase II Ammonium Polyphosphate. The general structure of APP is given below.
In APP I, n (number of phosphate units) is generally lower than 100.

Examples of commercial grades are listed in table 1
| |
Solubility
g/100 ml |
Chain length
(n) |
P2O5 % |
pH |
D50 (micron) |
| Euro I 101 |
4 |
30 |
69 |
5-6 |
15 |
| Euro I 102 |
4 |
45 |
69 |
5-6 |
15 |
Crystal phase II APP (APP II) As shown in figure 2 below, APP II structure is cross linked/branched. The molecular weight is much higher than APP I with "n" value higher than 1000. APP II has a higher thermal stability (decomposition starts at approximately 300°C ) and lower water solubility than APP I.

Example of commercial non coated grades are listed on table 2
| |
Solubility g/100 ml |
P2O5 % |
pH |
D50 (micron) |
| Euro II 101 |
0.5 |
72 |
5-6 |
5-10 |
| Euro II 102 |
0.5 |
72 |
5-6 |
10-20 |
Ammonium polyphosphate (APP) and APP based systems are very efficient halogen free flame retardants mainly used in polyolefins (PE, PP), thermoset resins such as epoxy resins, polyurethane, unsaturated polyester phenolic resins and others. APP is an non-toxic, environmentally friendly material and it does not generate additional quantities of smoke due to the unique mechanism of "Intumescence".
Compared to other halogen free systems, APP requires lower loadings. In thermoplastic formulations APP exhibits a good processability, good retention of mechanical properties and good electrical properties.
In thermosets, APP can be used in combination with ATH , which allows a significant reduction of the total FR filler. These combinations are used in construction and electrical applications. The processability can be improved when the total filler grade is reduced.
Budenheim has developed new coated APP grades, which today extend their field of application due to their capacity to provide a range of materials with an enhanced level of processability, enhanced FR performances and improved long term properties.
Crystalline phase II ammonium polyphosphate is a kind of environment protection nonhalogen flame-retardant cotaining N and P. It has high polymerization degree good heat-stability and small hydroscopicity. It deiffers from the halogen flame-retardant, the expansion carbon film formed during burning shows the flame-retardancy due to insulating heat and air There is low smoke, low toxic and non melting drop. So it is a kind of high efficiency environment protection inorganic flame-retardant.
Crystalling phase II ammonium polyphosphate has a wide range of use. It is suitable for plastic (PP, PE, PVC etc.), polyester, rubber, various advanced expansion fire-retardant paint. |