Abamectin
Abamectin Specification
| Active Ingredient |
B1a +B1b: 95%min ; B1a : 90%min. |
| Appearance |
white to yellowish crystalline powder |
Abamectin Physical And Chemical Properties
| Chemical Name |
5-O-demethylavermectin (B1a) mixture with 5-O-demethyl -25-de(1-methylpropyl)-25-(1-methyl)avermectin (B1b) |
| CAS No. |
Avermectin B1a - 65195-55-3
Avermectin B1b - 65195-56-4 |
| Empirical Formula |
B1a: C48H74O14(R=C2H5); C47H70O14(ii)
B1b: C47H72O14(R=CH3) |
| Molecular Weight |
B1a: 872
B1b: 858 |
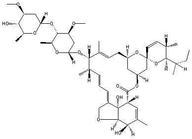
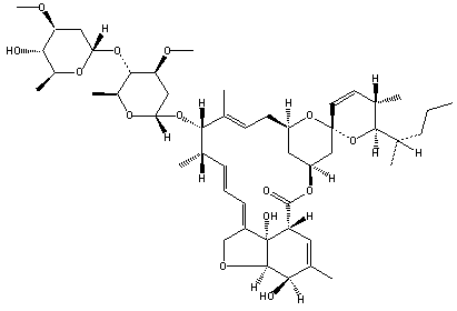
| Structural Formula |
|
B1a
B1b
|
| Melting point |
157-162 °C |
| Solubility |
58g/kg in water, 1000g/kg in methanol, 730g/kg in acetone, 420g/kg in ethanol, 220g/kg in isopropanol, 30g/kg in toluene |
| Vapor pressure |
Negligible |
| Corrosive properties |
Non-corrosive. |
| Explosive properties |
Explosion hazard in the presence of strong oxidizers |
| Acute oral LD50 |
11mg/kg (rat) |
Abamectin Formulations
Abamectin Application
| |
Abamectin is a mixture of avermectins containing > 80% avermectin B 1a and < 20% avermectin B1b. These two components, B 1a and B1b have very similar biological and toxicological properties .
The avermectins are insecticidal or anthelmintic compounds derived from the soil bacterium Streptomyces avermitilis. Abamectin is a natural fermentation product of this bacterium. Abamectin is used to control insect and mite pests of a range of agronomic, fruit, vegetable and ornamental crops, and it is used by homeowners for control of fire ants.
Abamectin is a highly effective insecticide and miticide, Controling Colorado potato beetles, leafminers, mites, and pinworms. Agri-Mek* for use on apples, bell peppers, celery, citrus, cucurbits, grapes, head lettuce, hops, nuts, pears, potatoes, strawberries, and tomatoes. Clinch* for control of fire ants in bearing and nonbearing almonds and citrus. |
Abamectin Quotation Form
|
- 23rd CAC (China International Agrochemical & Crop Protection Exhibition)
- Agrochemicals/ Pesticides Marketing Information in China, Updated on Sep. 30th, 2021
- Agrochemicals/Pesticides Marketing Information in China, Updated on Nov. 30th, 2020
- Agrochemicals/ Pesticides Marketing Information in China, Updated on October 27th, 2020
- Agrochemicals/ Pesticides Marketing Information in China, Updated on September 23rd, 2020
- Agrochemicals/ Pesticides Marketing Information in China, Updated on August 27th, 2020
- Agrochemicals/ Pesticides Marketing Information in China, Updated on July 22nd, 2020
- Agrochemicals/Pesticides Marketing Information in China, Updated on Jun. 30th, 2020

- Indoxacarb 90%TC, 95%TC, 150g/L SC
- Thiamethoxam 98%Tech, 25% WDG
- Glufosinate 95%TC, 50%TK, 13.5%w/w SL, 15%w/v SL, 18% w/v SL
- Fipronil 95%TC, 96%TC, 50g/L SC
- Paraquat dichloride 42% TC, 45% TC, 27.6% w/v SL, 24% w/w SL, 200g/l SL
- Glyphosate 95% Acid, 62% TC, 48% w/v SL
- Butachlor 92% TC, 95% TC, 60% w/v EC, 5% G
- Methomyl 98% TC, 90% SP, 24% SL, 40%SP
- Cybutryne (Fintryn) 98%
- Terbutryne 98%
- Diuron 95%, 98%
- Carbendazim 98% min
- BIT 98% min
- CMIT/MIT 14%
 " Instant assistance and professional support are what SinoHarvest is distinctive from the other agrochemical manufacturers and suppliers that we have been doing business with for more than 15 years.
"
Chris Clock
Jadis Corporation, France
|